THE NEW CHOCOLATE


IN A WORLD FULL OF CHOCOLATE MADE WITH SUGAR AND PALM OIL, WE PRESENT A HEALTHIER CHOICE WITHOUT COMPROMISE.
ZERO ADDED SUGAR

AVOIDS SPIKES IN BLOOD SUGAR

HIGH FIBER

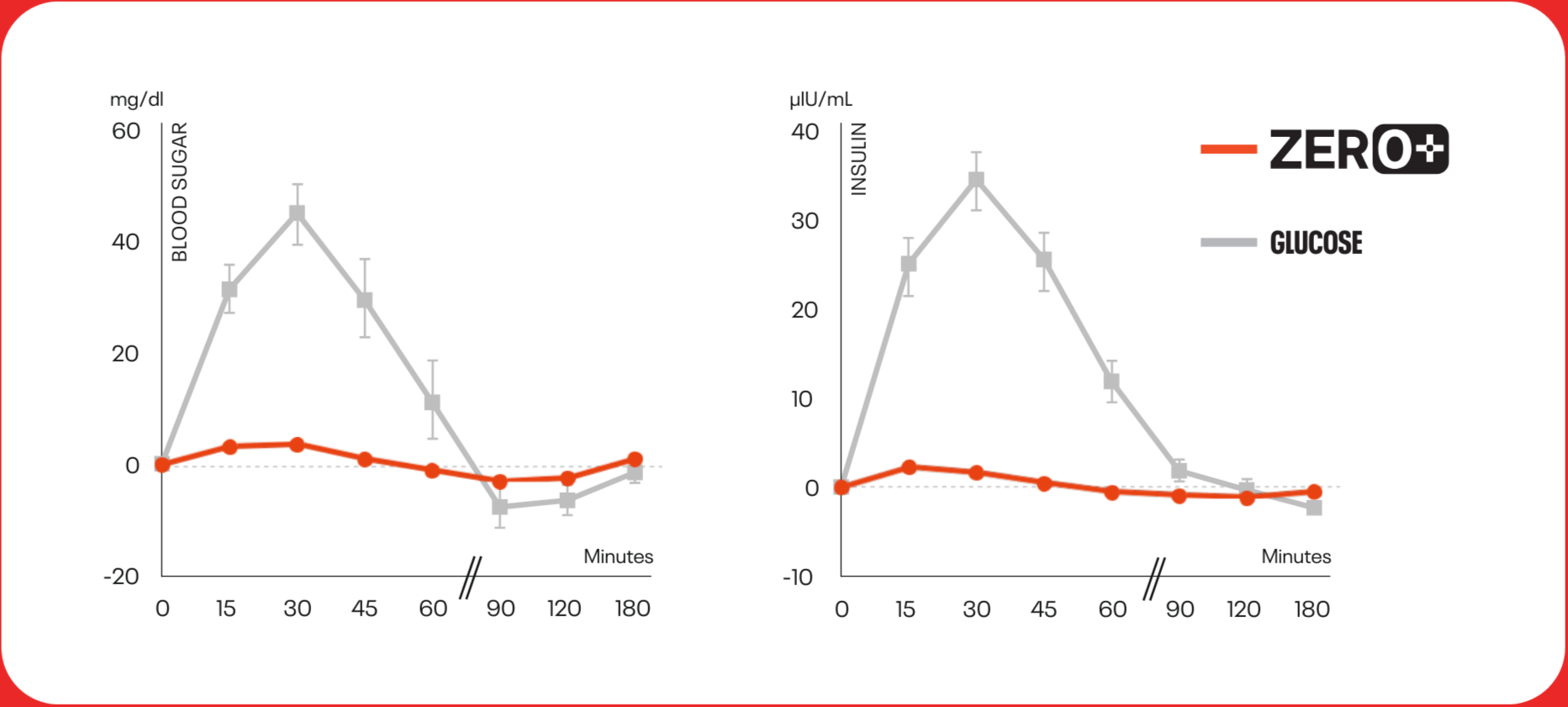
THE TRUTH LIES IN THE BLOOD SUGAR CURVE
We often forget that many "short" carbohydrates appear in the blood as glucose just as quickly as sugar itself. We have conducted intensive research of 12 years to pioneer a sugar alternative that has minimal affect on blood sugar, without compromising taste - proven by the results of a study by the Medical University of Vienna (2022).

Study was conducted by MedUni Vienna 2022. Overall result of the normalized values for the change in blood sugar/insulin levels after oral administration of 30g ZERO+ (white) or 30g glucose (red), each dissolved in 200mL tap water, from time 0 to 180 minutes after administration. Data are expressed as mean and standard error of the mean. Due to the smaller fluctuations of ZERO+, the error bars cannot be shown.
*ZERO+ is the sugar replacement used in NEOH products.
The new way of snacking
NEOH replaces all added sugar with ZERO+, our pioneering sugar alternative. People often forget how high the proportion of added sugar is in conventional confectionery. So here's a quick comparison:
VS

NEOH BAR
30G
Zero
ADDED SUGAR
3g
Netcarbs
7-8g
FIBER

Average bar
30G
14g
ADDED SUGAR
xG
Netcarbs
0.3G
FIBER
Not convinced yet? Listen to our customers’ opinions